- 发文标题: 关于印发《资产评估专家指引第12号——收益法评估企业价值中折现率的测算》的通知
- 发文机关: 中国资产评估协会
- 发布日期: 2020-12-30
- 生效日期: 2020-12-30
- 发文字号: 中评协〔2020〕38号
- 原文链接: 中国资产评估协会
本专家指引是一种专家建议。资产评估机构执行资产评估业务,可以参照本专家指引。中国资产评估协会将根据业务发展,对本专家指引进行更新。
第一章 引言
第一条 为指导资产评估专业人员在运用收益法评估企业价值时合理测算预期收益的折现率,中国资产评估协会组织制定了本专家指引。
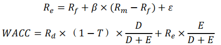
第二条 本专家指引仅针对收益法中运用资本资产定价模型(CAPM)、加权平均资本成本(WACC)计算折现率所涉及的无风险利率、市场风险溢价、贝塔系数、特定风险报酬率、债权期望报酬率等参数的确定。CAPM、WACC 的公式分别表示如下:

𝑅𝑒表示股权期望报酬率,𝑅𝑓表示无风险利率, 𝛽表示股权系统性风险调整系数,(𝑅𝑚 − 𝑅𝑓)表示市场风险溢价,ε 表示特定风险报酬率,𝑅𝑑表示债权期望报酬率,D 表示债权价值,E 表示股权价值,T 表示所得税税率。
第三条 采用风险累加法等其他方法计算折现率,涉及相同参数的测算时可以参照本专家指引。
第二章 基本遵循
第四条 资产评估机构应当研究确定内部统一的折现率测算原则与方法,并在执业过程中保持折现率测算原则与方法的一致性。
第五条 执行资产减值测试等延续性评估项目,需要关注不同评估基准日折现率测算的合理性。
第六条 资产评估专业人员需要关注折现率口径与预期 收益口径的一致性,以及折现率计算公式中各参数的一致性。
第三章 无风险利率
第七条 无风险利率是指投资者投资无风险资产的期望报酬率,该无风险资产不存在违约风险。
第八条 无风险利率通常可以用国债的到期收益率表示,选择国债时应当考虑其剩余到期年限与企业现金流时间期 限的匹配性。
第九条 持续经营假设前提下的企业价值评估可以采用剩余期限为十年期或十年期以上国债的到期收益率作为无风险利率。
第四章 市场风险溢价
第十条 市场风险溢价是指投资者对与整体市场平均风险相同的股权投资所要求的预期超额收益,即超过无风险利率的风险补偿。市场风险溢价通常可以利用市场的历史风险溢价数据进行测算。
第十一条 中国市场风险溢价一般可以通过下列几种途径确定:
(一)利用中国的证券市场指数的历史风险溢价数据计算;
(二)采用其他成熟资本市场风险溢价调整方法;
(三)引用相关专家学者或者专业机构研究发布的数据。第十二条 利用中国的证券市场指数计算市场风险溢价时,通常选择有代表性的指数,例如沪深 300 指数、上海证券综合指数等,计算指数一段历史时间内的超额收益率,时间跨度可以选择 10 年以上、数据频率可以选择周数据或者月数据、计算方法可以采取算术平均或者几何平均。
第十三条 采用其他成熟资本市场风险溢价调整方法是在其他成熟资本市场风险溢价的基础上,考虑中国国家风险补偿得到中国市场风险溢价,基本计算公式可以表示为:

第十四条 其他成熟资本市场的市场风险溢价可以通过其证券市场指数的历史风险溢价数据等计算得到,也可以直接采用相关专家学者或者专业机构研究发布的数据。
第十五条 中国国家风险补偿表示中国股票市场相对于其他成熟资本市场的国家风险溢价。中国国家风险补偿取值可以直接采用相关专家学者或者专业机构研究发布的中国国家风险补偿数据,也可以利用其发布的国家违约利差数据调整得到,基本计算公式如下:

𝜎股票表示中国股票市场收益率的标准差,𝜎国债表示中国国债市场收益率的标准差。
第五章 贝塔系数
第十六条 贝塔系数(β 系数)表示系统性因素给股权投资者带来的不可分散的风险,由股票收益率与市场收益率的协方差除以市场收益率的方差得到,β 系数等于 1,表示股权投资风险与整体市场风险相当,β 系数大于1(或者小于1)表示股权投资风险大于(或者小于)整体市场。
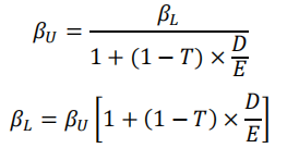
第十七条 非上市公司的股权 β 系数通常由多家可比上市公司的平均股权 β 系数调整得到,即计算可比上市公司带 杠杆的𝛽𝐿并调整为不带杠杆的𝛽𝑈,在此基础上通过取平均值、中位数等方法得到被评估企业的𝛽𝑈,最后考虑被评估企业适 用的资本结构得到其𝛽𝐿,计算公式如下:

𝛽𝑈表示无财务杠杆的 β 系数,𝛽𝐿表示包含财务杠杆的 β系数,T 表示所得税税率,D 表示债权价值,E 表示股权价值。
第十八条 被评估企业适用的资本结构一般可以通过下列几种途径确定:
(一)采用被评估企业评估基准日的真实资本结构,前提是企业发展趋于稳定;
(二)采用目标资本结构,取值可以参考可比公司或者行业资本结构水平,并分析企业真实资本结构与目标资本结构的差异及其对债权期望报酬率、股权期望报酬率的影响,考虑是否需要采取过渡性调整等措施。
第十九条 评估专业人员在选择可比公司时,一般需要综合考虑可比公司与被评估企业在业务类型、企业规模、盈利能力、成长性、行业竞争力、企业发展阶段等多方面的可比性。
第二十条 可比上市公司的 β 系数可以通过回归方法计算得到,也可以从相关数据平台查询获取。
第二十一条 可比上市公司的 β 系数计算或查询结果与证券市场指数的选择密切相关,评估专业人员应当合理选择证券市场指数,并关注其与市场风险溢价的匹配性。
第六章 其他参数
第二十二条 特定风险报酬率𝜀表示被评估企业自身特定因素导致的非系统性风险的报酬率。
第二十三条 特定风险报酬率一般可以通过下列几种方法确定:
(一)通过多因素回归分析等数理统计方法计算得到;
(二)将特定风险报酬率拆分为规模溢价和其他特定风 险溢价。规模溢价可以利用资本市场数据通过统计分析得到,也可以参考相关专家学者或者专业机构研究发布的数据;其 他特定风险溢价一般可以通过经验判断分析确定;
(三)在对企业的规模、核心竞争力、对大客户和关键供应商的依赖等因素进行综合分析的基础上,根据经验判断确定。
第二十四条 债权期望报酬率是企业债务融资的资本成本,一般可以通过下列几种途径确定:
(一)以全国银行间同业拆借中心公布的贷款市场报价利率(LPR)为基础调整得到;
(二)采用企业债务的实际利率,前提是其利率水平与市场利率不存在较大偏差。
第二十五条 折现率计算中采用的债权价值和股权价值为市场价值。
第七章 披露要求
第二十六条 资产评估报告中应当披露折现率计算采用的模型及各参数的确定方法。
第二十七条 引用相关专家学者、专业机构或者数据平台发布的数据作为参数值的,资产评估报告中应当披露数据来源。
引用的参数应当能够通过评估档案追溯其数据来源及查询方法。
第二十八条 通过市场公开数据计算得到市场风险溢价、 β 系数、规模溢价等参数值的,资产评估报告中应当披露计 算方法。
计算的参数应当能够通过评估档案复核其计算结果。第二十九条 通过经验判断等主观分析方法得到参数值的,资产评估报告中应当披露分析方法。
第三十条 对存在不确定性因素的参数,资产评估专业人员可以通过敏感性分析等方法分析其对评估结论的影响, 并在资产评估报告中予以披露。